Half-Life Calculator
The following tools can generate any one of the values from the other three in the half-life formula for a substance undergoing decay to decrease by half.
Half-Life Calculator
Please provide any three of the following to calculate the fourth value.
Half-Life, Mean Lifetime, and Decay Constant Conversion
Please provide any one of the following to get the other two.
Calculate Exact Decay Timelines for Any Substance with Precision
A half-life calculator tells you how much radioactive material, drug concentration, or unstable compound remains after any elapsed time—and more critically, when that remaining amount drops below a threshold that matters for your decision. Whether you’re planning nuclear waste storage, timing medication doses, or calibrating carbon-14 dating, the same exponential decay mathematics apply. The tool converts between half-life duration, elapsed time, and remaining quantity, solving for any one variable when you know the other two.
Why Half-Life Math Trips Up Even Experienced Users
Most people assume half-life means “gone in two half-lives.” Wrong. After two half-lives, 25% remains. After ten, roughly 0.1%. The asymmetry catches planners: early decay is rapid, but the long tail stretches far longer than intuition suggests. This is the hidden variable that drives real-world consequences.
Consider iodine-131, used in thyroid treatments. Its 8-day half-life seems manageable. Yet clinical protocols must account for the fact that after five half-lives (40 days), about 3% remains—still detectable, still biologically active. For radiation safety officers, that tail determines when patients can safely interact with children or pregnant women. The calculator doesn’t just compute; it reveals where your intuition fails.
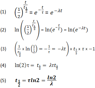
The mathematics behind this stems from first-order kinetics. The rate of decay is proportional to the amount present. This produces exponential decay, not linear. The governing equation:
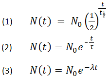
N(t) = N₀ × (1/2)^(t/t₁/₂)
Where: - N(t) = remaining quantity - N₀ = initial quantity - t = elapsed time - t₁/₂ = half-life duration
For practical work, this rearranges to solve for any variable. Need time to reach a target remaining fraction? t = t₁/₂ × log₂(N₀/N(t)). Need half-life from observed data? t₁/₂ = t × ln(2) / ln(N₀/N(t)).
The logarithmic base conversion matters. Many users fumble between log₂, ln, and log₁₀. The calculator handles this internally, but understanding that log₂ is the natural choice for halving intervals prevents errors when verifying results manually.
| Application Domain | Typical Half-Life Range | Critical Decision Threshold | Common Miscalculation |
|---|---|---|---|
| Medical imaging (Tc-99m) | 6 hours | Patient release timing | Assuming 24h = “safe” (actual: ~3.1% remains) |
| Radiocarbon dating (C-14) | 5,730 years | Sample age credibility | Ignoring calibration curve deviations |
| Pharmacokinetics (caffeine) | ~5 hours | Sleep disruption risk | Linear projection of afternoon dose |
| Nuclear waste (Pu-239) | 24,100 years | Repository design | Underestimating 10,000-year tail risk |
| Electronics (capacitor discharge) | milliseconds to hours | Circuit timing accuracy | Treating as linear near full charge |
Operational Context: When Precision Beats Approximation
The calculator serves three distinct operational modes, each with different precision demands.
Mode 1: Forward calculation (time → remaining quantity) You know the half-life and elapsed time; you need remaining amount. Example: A 100 mg caffeine dose at 2 PM, half-life 5 hours, sleep attempt at 11 PM. Nine hours elapsed = 1.8 half-lives. Remaining: 100 × (1/2)^1.8 ≈ 28.7 mg. For caffeine-sensitive individuals, this residual level may still impair sleep onset latency. The trade-off: earlier cutoff versus productivity loss.
Mode 2: Reverse calculation (target quantity → required time) You know desired remaining amount; you need elapsed time. Example: A laboratory needs uranium-238 contamination below 0.1% of original for equipment reuse. Half-life: 4.468 billion years. Time required: t = 4.468×10⁹ × log₂(1000) ≈ 44.5 billion years. The insight: chemical separation, not waiting, is the only viable path. The calculator transforms an absurd waiting period into an immediate process decision.
Mode 3: Half-life determination from empirical data) You have time-series measurements and need to extract the underlying half-life. This requires logarithmic regression. The calculator accepts multiple (time, quantity) pairs and computes best-fit t₁/₂. Critical caveat: this assumes single-compartment, first-order kinetics. Multi-compartment systems—common in pharmacokinetics—show bi-exponential or tri-exponential decay. A drug with rapid distribution (α phase, minutes) and slow elimination (β phase, hours) will mislead if you fit a single half-life to early data.
The human judgment element: sample timing density matters more than sample count. Two measurements spaced by exactly one half-life constrain the estimate tightly. Ten measurements clustered within the first 10% of decay provide poor constraint. If you choose dense early sampling, you gain precision on initial rapid processes but lose discrimination of slower phases. If you choose sparse long-duration sampling, you capture the tail but miss early dynamics.
Technical Limitations and Environmental Factors
No half-life calculation exists in a vacuum. Several factors introduce deviation between calculated and actual remaining quantities.
Biological variability: In pharmacokinetics, individual half-lives vary substantially. Caffeine half-life ranges from 3 to 7 hours depending on CYP1A2 genetics, pregnancy status, and liver function. The calculator’s output is a population mean; your personal value may differ by 2× or more.
Measurement uncertainty: Radiometric dating assumes closed-system behavior. Contamination, leaching, or daughter product loss invalidates the calculation. The calculator cannot detect sample compromise.
Multi-exponential decay: Many real systems deviate from pure first-order kinetics. The calculator assumes single half-life dominance. For carbon-14 dating, calibration curves correct for known fluctuations in atmospheric ¹⁴C production—solar activity variations, fossil fuel dilution, nuclear testing spikes. Raw calculator output requires these corrections for calendar-year accuracy.
Rounding accumulation: Repeated half-life iterations compound rounding error. For very large N/t₁/₂ ratios, use the continuous form N(t) = N₀ × e^(-λt) where λ = ln(2)/t₁/₂, rather than iterative halving.
Connected Decisions: What to Calculate Next
Half-life rarely stands alone. Users typically chain this calculator to related tools:
- Dosage interval calculators: Once you know elimination half-life, determine steady-state timing. The rule of thumb: 4–5 half-lives to steady state; same for washout.
- Radiation dose calculators: Convert remaining activity (Bq) to absorbed dose (Gy or Sv) using source geometry and exposure time.
- Exponential growth calculators: The mathematics invert directly. Population biology, compound interest, and tumor growth use N(t) = N₀ × e^(kt) with positive exponent.
- Calibration curve tools: For radiocarbon work, raw ¹⁴C years require IntCal20 or similar calibration to calendar years.
The decision archaeology: this calculator exists because planners consistently misjudge exponential decay. Linear intuition—“half gone in one half-life, all gone in two”—leads to dangerous underestimation of residual activity, premature re-exposure, or discarded still-viable samples. The tool externalizes the logarithmic transformation that human cognition resists.
The One Change to Make
Stop using “number of half-lives” as your mental model. Instead, calculate to your specific threshold. Five half-lives leaves 3.125%—acceptable for some decisions, catastrophic for others. Ten half-lives leaves 0.098%. Define your tolerance numerically, then compute the exact time or quantity. The calculator’s value isn’t the math itself; it’s forcing explicit threshold declaration where vague intuition otherwise dominates.
Informational Disclaimer
This calculator provides mathematical estimates based on user-input parameters. It does not account for individual biological variation, environmental conditions, measurement uncertainties, or multi-compartment kinetics. For medical dosing decisions, radiation safety protocols, or legal compliance determinations, consult qualified professionals and verify against primary measurement data. Calculator outputs are for estimation and educational purposes only.
